大管道气体流量检测仪表与校验
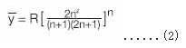
| 前言 众所周知,规模产生效益。近二、三十年来,工程的大型化已成为现代工业发展的必然趋势。工程中口径大于500毫米的管道已十分普遍,其流量检测(特别对气体)已日益迫切,有待解决。可测气体流量的仪表不少,从原理及制造角度来说,将尺寸放大应无问题,但仪表的体积及重量将随口径按几何级数增长,而且还会带来其他问题,例如孔板,这种人们熟知的节流装置,当口径较大时不仅笨重,还有较大的压损,运行费用过高,再加上ISO5167新标准要求前直管段达30~40D,现场很难满足,无法考虑再采用这类仪表。量变到质变,面临这些困难,近二、三十年来,普遍采用的是采用取样原理、插入安装方式,仅测取管道中一点或多点的流速来推算流量的插入式流量计,这类仪表的共同特点是:结构简单,安装维修方便,价格低廉,重复性好,准确度一般不高。因其原理均为取样性质,所以首先要了解管道内的流速分布,这样才能正确选定检测点的位置及数量。 工业管流 千变万化的管内流速分布 各行各业的工程,从其本身的工艺要求出发在管道中都必需安装形形色色的管配件(如阀门、弯头、歧管、变径管、过滤器等),由于它们的形式及组合方式极多所引起的管内流速分布也千变万化,难以估计。R.W.Miller( 美国流量测量工程手册作者)认为:“流速分布是影响流量测量准确度的主要因素,而工业现场的配件种类繁多,其流动情况十分复杂,不仅难以描述,也不易在实验室模拟它们”。由于绝大多数流量仪表都与流速分布有关,它的校验所处的流场应与实用条件的流场一致,校验的系数才有意义。这个流场被公认为充分发展紊流,只要管道具有较长的直管段就可以得到。 充分发展紊流 ■ 形成—由于实际流体均有粘性,在流动过程中将会带动、制约相邻层面的流体,这种作用经过约30D(D为管内径)直管段长度,其流速分布将不再变化,如雷诺数Re<2000为层流;Re>4000则为紊流,工业中多为紊流,即充分发展紊流。 ■ 描述—近百年来不少科学家对充分发展紊流进行了大量测试与描述,其中以Nikuradse的光滑管充分发展紊流公式最简单,它近似地表达为 其中Vi为任一点流速;Vm中心最大流速;y流速点至管壁的距离;R管道半径;n为指数,与Re有关。 ■ 平均流速点—通过公式1可推导出光滑管充分发展紊流的平均流速点 ![]() 由式2可知,圆管内的平均流速点取决于3个因素: 1).直管段长度;2).雷诺数Re;3).粗糙度e,因此它的位置并非固定不变,不像有些厂商宣传的那样,仅测管道一点流速就可取得.±0.5~1%的流量准确度,按ISO7145评估,其准确度只能达到±3%;如直管段较短,流量准确度甚至不足±5~10%。 流动调整器(flow conditioner) 要准确地测量流量,必需具有较长的直管段长度,而实际现场往往无法满足,为此,国际标准化组织曾多次推荐采用十余种类型的流动调整器,但笔者认为这并非上策,因为:1)增加成本,一台流动调整器的价格不亚于一台流量计;2)需经常清洗加大了维修量;3)效果好的流动调整器永久压损大,增加了运行成本;4)易于堵塞,即使部分堵塞也改变了流速分布,无法提高准确度。 既然事与愿违,又何必多次一举。 大管道气体流量检测仪表 在我国倡导建设节约型经济的前提下,本文所介绍的大管道气体流量检测仪表排除了压损大、运行费过高的节流装置;也不推荐价格过高的气体超声波流量计,仅限于介绍在工控系统中,性价比较高,以取样原理的插入式流量仪表,按其取点方式可分为以下三大类: 测点速 凡可测流速的仪表插入管道均可成为流量计,较为通用的有以下几种: ■ 双文丘利管—早于40年前,美国Taylar公司已推出此产品,国内曾仿制用于火电厂称“小喇叭管”。近十多年国内已有产品进入市场。它是利用外文丘利管喉部加速产生低压,促进内文丘利再次加速可得到更低的压力,从而在相同流速下可得到更大的输出差压,较适用于大管道低流速的气体流量测量。 ■ 热式—利用传热原理,以热电阻为敏感元件,当流速高时将带走更多的热量,降低了热电阻温度,改变了电阻值,通过电阻值的变化了解流速大小及流量值,其最大特点是可测低于小于5m/s的流速,传热与流体质量有关,因此所测为质量流量;不足是气体温度一般要低于200℃,响应时间在1秒以上。 ■ 其他—按理,皮托管、插入式涡街、涡轮均可用于测流量,皮托管可用于工业现场校验,很少作为工业仪表。插入式涡街在低速及管道有振动时,工作不可靠;插入式涡轮由于有转动件,维修量大等等。这些仪表近年来市场占有量都呈较大的下降趋势。 这类仪表生产厂商常宣传他们的仪表都在风洞中标定过,其实那仅只是标定流速不是流量,流量准确度不可能达到他们宣传的±1%。 测线速 以测管道中分布在一条线上的多点流速来推算流量,较上述测单点的准确,安装稳定,可靠,在工控系统中检测大管道气体流量,常为首选仪表,较典型的为均速管流量计: 差压式均速管流量计 以皮托管测速原理为基础,三十多年来经过了不断改进,目前在国内外市场上有以下几种: ■ 菱形-Ⅱ—最早检测杆截面为圆形,因“阻力危机”被菱形-I型取代,菱形-I又因背压孔易堵,而被菱形-Ⅱ型代替。这种类型主要有二种:其一是艾默生公司十多年前推出的由三个型材组合形成的检测杆,由于型材公差较大,当温度变化时,易发生漏气或初始应力过大削弱强度等弊病,现已很少采用;另一种是一体化结构,由德国二、三家公司推出,工作可靠,可承受较高的温度,但价格较贵,我国已可生产并应用于现场。 ■ 弹夹型—近十年来,在国内市场曾占有较大份额,生产厂商宣称其头部的粗糙面可控制附面层从而提高精确度,经专业人士论证,附面层相对其他因素对准确度的影响微不足道。而其缺点是输出差压较小,测压孔太小,当流体中含有粉尘,特别是有凝析物、油类、藻类等时,厂家也不得不承认易于堵塞。 ■ T型—迎流向有二排密集不到2毫米的总压孔,低压孔取出T形背部,孔径较小,厂家宣称测压孔多更可“采集”流速分布状况,准确度达到令人难以置信的±0.7%。其实测压孔就是密集到为一条缝,不也只能反映截面上直线上的流速吗?当直管段长度不够时,又如何保证准确度?况且由于测压孔过小,与弹头型一样易于堵塞。 热式均速管流量计 原理与上节测单点热式相同,只是在结构上为多点,反映管道内多点的流速分布,以此推算流量。 比较上述二种均速管流量计,热式优点在于灵敏度高可测低速低温流体流量,而且直接反映的是流速;而差压式所测总压在检测杆内平均后,由于流动复杂,混合后传出的总压未必是平均流速的总压,所以必需通过校验用流量系数来修正,可以预计热式均速管流量计如能改进提高准确度,将会有较大的发展潜力。 测截面多点流速 ■ 机翼型流量计—这是经典文丘利管的改进型式,缩短了长度,仍较笨重。 ■ 总量测量装置—在管道截面中插入了多根检测管,检测管正对流向钻有多个总压孔,侧面多个静压孔,有较多的测点反映截面的流速分布,虽较机翼轻巧,但不够准确。 ■ 热式均速流量计—在管道中插入多根热式均速管流量计,更全面反映管内的流速分布,但每个热电阻所反映的流速特性未必相同,校验修正还有待改进。 ■ 均速环流量计—针对均速管流量计应用三十余年存在的输出差压小,准确度低,忽视管内径对准确度影响等缺点推出的一项专利产品(专利号ZL200420061027.3),它由双文丘利管测低压,提高了输出差压,用多根均速管充分反映了管内的流速分布等一系列措施,改善均速管的技术特性,正引起国内外厂商及用户的关注。 校验 流量是一个推导量,影响的因素较多,必需通过校验所得的系数进行修正,才可以得到正确的流量值。由于绝大多数流量仪表(容积、哥氏除外,但管径一般小于0.2米)均与管道中流速分布密切相关,因此要正确使用流量仪表都必需具有较长的前直管段,即他们应安装在充分发展紊流之中,所以校验装置也必需提供充分发展紊流,它是校验与应用的流场平台,只有这样,校验的系数才可以用于现场仪表,否则校验毫无意义。 风洞能校验流量仪表吗? 由于人们难以测取飞行器在运动中的受力情况,只有用相对方法,令飞行器(或等比例缩小的模型)静止不动。由风洞产生一股迎面气流,以模拟实际飞行情况,为此要精心设计,采取各种措施,使整个截面的流速都是相等的(即所谓均直流场,见图4),它与充分发展紊流是完全不同的,只能校验流速计,不能校验流量计。 有人认为用风洞标定插入式流量计探头就可以了,有意或无意回避管道的影响。众所周知,流量Q=管道截面积AX流速V,因此可以说插入式流量计不插入管道只是流速计不能成为流量计,说明管道的影响举足轻重,它可表现为二个方面: 1)具有较长的直管段,以保证流速的准确度;2)准确的管道截面积,用风洞可以标定流速,不能标定流量。 气体流量校验装置 装置的基本条件: ■ 管径大小与形状与被校表基本相同; ■ 可在较大范围内(10:1)调整流量; ■ 具有较高精确度的流量基准; ■ 具有较长的直管段,以保证提供充分发展紊流(如受场地限制,在实验室建议采用流动调整器); ■ 其他特殊要求:如工况、实流、二相、脉动等。 如何面对现场条件: 在现场应用的大管径流量计 target=_blank>气体流量计常采用矩形截面,大小,宽高比例形形色色,实验室难以一一满足;其次往往面临直管段不足的情况,即未安装在充分发展紊流中,即使在具备上述条件的装置中校验过,其流量系数也因为流场的差异,直接引用并不能保证其准确度。在这种情况下,只有采用速度一面积法进行现场校验。 速度一面积法 ■ 原理—速度面积法是一种测量管道内流量的经典方法,由于较为繁琐,只适用于现场校验,而不宜用于流程工业检测。由于管道内流速分布不等,可将管道分割许多单元面积Ai,并认为单元面积上的流速Vi近似相等,这样流量不难理解面积分割越多则越准确,但也越繁琐而不现实。 ■ 准确度— 采用速度面积法的准确度取决于以下四个因素: ![]() 上式中: ![]() 由于现场流速分布比较复杂,不对称且可能存在二次流及漩涡,要取得较高精确度必需增加测点数目,据ISO7194估计,圆管采用速度面积法,测点为48个Q<±5%;测点36个Q<±7%;测点20个Q可达±14%. ■ 标准—有关速度一面积法如何操作,由于篇幅所限,本文略去,读者可参阅以下标准: -ISO3966-1977 封闭管道中流量测量—采用皮托-静压管的速度一面积法。 -ISO7145-1982 封闭管道中的流量测量—测量截面一点流速的方法。 -ISO7194-1983 封闭管道中的流量测量—在圆管中处于漩涡及非对称流动下采用皮托管的速度面积法。 -中国国家标准 jjG835-1993 速度面积法流量校验装置检定规程。 小结 直管长度举足轻重 直管段长度对流量仪表准确度影响很大,插入式仪表尤为突出,而现场难以保证,生产厂商往往回避这个问题,片面强调仪表本身的流速精确度,用户选用时应理性。 计量、检测各有侧重 流量仪表因其使用目的不同,及要求的特性也随之不同,如用于物流核算的贸易计量,准确度应放在首位,插入式流量仪表一般难以满足要求;但它的重复性较好,可以用于工控系统的检测环节。 综合考虑,按需选用 本文按大管道气体流量检测的特点,介绍了不少插入式流 |
<< 断路器选用的新看法强弱电间的距离到底是多少? >>



