|
变频器的应用和选型问题 前言:变频器技术的发展趋势经历大约三十年的研发与应用实践,随着新型电力电子器件和高性能微处理器的应用以及控制技术的发展,变频器的性能价格比越来越高,应用越来越广泛,从最初的节能到速度调节和自动化控制,曾有专家总结出30多类负载。综合各家论点,整理出此文,供参考。 一、 变频器应用情况分类一览表 实际上从变频器的使用类别可以按下表区分: 序号 类别 应用范围 应用方法 1 节能、改善环境 风机、泵类、搅拌机、挤压机、精纺机、注塑机、中央空调、洗衣机、抽油机 调速、降低马达噪音 2 提高设备效率 金属加工机械、塑料机 对高速电机进行高速运转控制 3 自动化控制、减轻劳动强度 搬运机械、加工设备、生产流水线 多台电机比例运转、联动运转、同步运转、正反运转、多段速调节 4 提高产量提高工艺精度及质量 机床、搬运机械、塑料机械、抽油机、球磨机、研磨机、印刷机 调速运转、抽油机对稠油降低冲次 5 减少维修、延长机器使用寿命 机床主轴、纺纱机 取代直流电机、无级调速 6 提高质量 造纸机、切纸机、拉丝机、纤维机械 调节最佳速度、恒张力矢量控制 7 特殊要求场合 恒压供水、供气、音乐喷泉 恒转矩、多段速自动控制 二、变频器的选型 变频器的正确选用对于机械设备电控系统的正常运行是至关重要的。选择变频器,首先要按照机械设备的类型、负载转矩特性、调速范围、静态速度精度、起动转矩和使用环境的要求,然后决定选用何种控制方式和防护结构的变频器最合适。所谓合适是在满足机械设备的实际工艺生产要求和使用场合的前提下,实现变频器应用的最佳性价比。 2.1 机械设备的负载转矩特性 人们在实践中常将生产机械根据负载转矩特性的不同,分为三大类型:恒转矩负载、恒功率负载和流体类负载。 2.1.1恒转矩负载 在这类负载中,负载转矩TL与转速n无关,任何转速下TL总保持恒定或基本恒定,负载功率则随着负载速度的增高而线形增加。传送带、搅拌机、挤压机和机械设备的进给机构等摩擦类负载以及起重机、提升机、电梯等重力负载,都属于恒转矩负载。 变频器拖动恒转矩性质的负载时,低速时的输出转矩要足够大,并且要有足够的过载能力。如果需要在低速下长时稳速运行,应该考虑标准笼型异步电动机的散热能力,避免电动机温升过高。 2.1.2恒功率负载 这类负载的特点是需求转矩TL与转速n大体成反比,但其乘积即功率却近似保持不变。金属切削机床的主轴和轧机、造纸机、薄膜生产线中的卷取机、开卷机等,都属于恒功率负载。 负载的恒功率性质应该是就一定的速度变化范围而言的。当速度很低时,受机械强度的限制,TL不可能无限增大,在低速下转变为恒转矩性质。负载的恒功率区和恒转矩区对传动方案的选择有很大的影响。电动机在恒磁通调速时,最大允许输出转矩不变,属于恒转矩调速;而在弱磁调速时,最大允许输出转矩与速度成反比,属于恒功率调速。如果电动机的恒转矩和恒功率调速的范围与负载的恒转矩和恒功率范围相一致时,即所谓“匹配”的情况下,电动机的容量和变频器的容量均最小。 2.1.3流体类负载 这类负载的转矩与转速的二次方成正比,功率与转速的三次方成正比。各种风机、水泵和油泵,都属于典型的流体类负载。 流体类负载通过变频器调速来调节风量、流量,可以大幅度节约电能。由于流体类负载在高速时的需求功率增长过快,与负载转速的三次方成正比,所以不应使这类负载超工频运行。 2.2 根据负载特性选取适当控制方式的变频器 现在市场上出售的变频器种类繁多,功能也日益强大,变频器的性能也越来越成为调速性能优劣的决定因素,除了变频器本身制造工艺的“先天”条件外,对变频器采用什么样的控制方式也是非常重要的。 综上所述,异步电动机变频控制选用不同的控制方法,就可以得到不同性能特点的调速特性。 2.3 根据安装环境选取变频器的防护结构 变频器的防护结构要与其安装环境相适应,这就要考虑环境温度、湿度、粉尘、酸碱度、腐蚀性气体等因素,这与变频器能否长期、安全、可靠运行关系重大。大多数变频器厂商可提供以下几种常用的防护结构供用户选用: (1)开放型IP00,它从正面保护人体不能触摸到变频器内部的带电部分,适用于安装在电控柜内或电气室内的屏、盘、架上,尤其是多台变频器集中使用较好,但它对安装环境要求较高。 (2)封闭型IP20、IP21,这种防护结构的变频器四周都有外罩,可在建筑物内的墙上壁挂式安装,它适用于大多数的室内安装环境。 (3)密封型IP40、IP42,它适用于工业现场环境条件较差的场合。 (4)密闭型IP54、IP55,它具有防尘、防水的防护结构,适用于工业现场环境条件差,有水淋、粉尘及一定腐蚀性气体的场合。 三、选择变频器容量计算 采用变频器驱动异步电动机调速。在异步电动机确定后,通常应根据异步电动机的额定电流来选择变频器,或者根据异步电动机实际运行中的电流值(最大值)来选择变频器。当运行方式不同时,变频器容量的计算方式和选择方法不同,变频器应满足的条件也不一样。选择变频器容量时,变频器的额定电流是一个关键量,变频器的容量应按运行过程中可能出现的最大工作电流来选择。变频器的运行一般有以下几种方式。 3.1 连续运转时所需的变频器容量的计算
由于变频器传给电动机的是脉冲电流,其脉动值比工频供电时电流要大,因此须将变频器的容量留有适当的余量。此时,变频器应同时满足以下三个条件:
式中:PM、η、cosφ、UM、IM分别为电动机输出功率、效率(取0.85)、功率因数(取0.75)、电压(V)、电流(A)。 K:电流波形的修正系数(PWM方式取1.05~1.1) PCN:变频器的额定容量(KVA) ICN:变频器的额定电流(A) 式中IM如按电动机实际运行中的最大电流来选择变频器时,变频器的容量可以适当缩小。
3.2 加减速时变频器容量的选择
变频器的最大输出转矩是由变频器的最大输出电流决定的。一般情况下,对于短时的加减速而言,变频器允许达到额定输出电流的130%~150%(视变频器容量),因此,在短时加减速时的输出转矩也可以增大;反之,如只需要较小的加减速转矩时,也可降低选择变频器的容量。由于电流的脉动原因,此时应将变频器的最大输出电流降低10%后再进行选定。
3.3 频繁加减速运转时变频器容量的选定
根据加速、恒速、减速等各种运行状态下的电流值,按下式确定: I1CN=[(I1t1+I2t2+…+I5t5)/(t1+t2+…t5)]K0 式中:I1CN:变频器额定输出电流(A) I1、I2、…I5:各运行状态平均电流(A) t1、t2、…t5:各运行状态下的时间 K0:安全系数(运行频繁时取1.2,其它条件下为1.1)
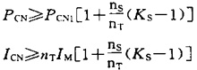
3.4 一台变频器传动多台电动机,且多台电动机并联运行,即成组传动
用一台变频器使多台电机并联运转时,对于一小部分电机开始起动后,再追加投入其他电机起动的场合,此时变频器的电压、频率已经上升,追加投入的电机将产生大的起动电流,因此,变频器容量与同时起动时相比需要大些。 以变频器短时过载能力为150%,1min为例计算变频器的容量,此时若电机加速时间在1min内,则应满足以下两式
若电机加速在1mn以上时
式中:nT:并联电机的台数 ns:同时起动的台数 PCN1:连续容量(KVA) PCN1=KPMnT/ηcos PM:电动机输出功率 η:电动机的效率(约取0.85) cosφ:电动机的功率因数(常取0.75) Ks:电机起动电流/电机额定电流 IM:电机额定电流 K:电流波形正系数(PWM方式取1.05~1.10) PCN:变频器容量(KVA) ICN:变频器额定电流(A) 变频器驱动多台电动机,但其中可能有一台电动机随时挂接到变频器或随时退出运行。此时变频器的额定输出电流可按下式计算:
式中:IICN:变频器额定输出电流(A) IMN:电动机额定输入电流(A) IMQ:最大一台电动机的起动电流(A) K:安全系数,一般取1.05~1.10 J:余下的电动机台数
3.5 电动机直接起动时所需变频器容量的计算
通常,三相异步电动机直接用工频起动时起动电流为其额定电流的5~7倍,对于电动机功率小于10kW的电机直接起动时,可按下式选取变频器。 IICN≥IK/Kg 式中:IK:在额定电压、额定频率下电机起动时的堵转电流(A); Kg:变频器的允许过载倍数 Kg=1.3~1.5 在运行中,如电机电流不规则变化,此时不易获得运行特性曲线,这时可使电机在输出最大转矩时的电流限制在变频器的额定输出电流内进行选定。
3.6 大惯性负载起动时变频器容量的计算
通过变频器过载容量通常多为125%、60s或150%、60s。需要超过此值的过载容量时,必须增大变频器的容量。这种情况下,一般按下式计算变频器的容量:
式中:GD2:换算到电机轴上的转动惯量值(N·m2) TL:负载转矩(N·m) η,cosφ,nM分别为电机的效率(取0.85),功率因数(取0.75),额定转速(r/min)。 tA:电机加速时间(s)由负载要求确定 K:电流波形的修正系数(PWM方式取1.05~1.10) PCN:变频器的额定容量(KVA)
3.7 轻载电动机时变频器的选择
电动机的实际负载比电动机的额定输出功率小时,多认为可选择与实际负载 相称的变频器容量,但是对于通用变频器,即使实际负载小,使用比按电机额定 功率选择的变频器容量小的变频器并不理想,这主要是由于以下原因; 1) 电机在空载时也流过额定电流的30%~50%的励磁电流。 2) 起动时流过的起动电流与电动机施加的电压、频率相对应,而与负载转矩无关,如果变频器容量小,此电流超过过流容量,则往往不能起动。 3) 电机容量大,则以变频器容量为基准。





 普传PI7000变频器 |
|