高压输电线路单端测距新原理探讨
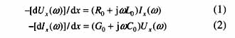
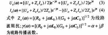
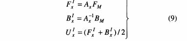
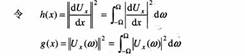
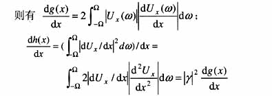
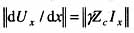
| 简介: 突破了传统的利用工频分量的单端测距概念和利用初始行波与故障点反射行波到达测量点的时间差进行单端测距的概念,提出了一种新的单端故障测距原理。 关键字:单端测距 输电线路 电压沿线路分布 电压分布导数 EMTP仿真 1 引言 输电线路的故障测距算法可以分为两大类,一类是利用线路单端的电压、电流等故障信息构成测距算法,称为单端测距;另一类是利用线路双端的故障信息构成测距的算法,称为双端测距。目前的双端故障测距原理虽然比单端测距原理要准确,但由于需要通讯设备以及双端同步采样等要求而很难实现[1,2>。因此,准确的单端测距原理成为研究者梦寐以求的目标。单端测距原理又可以分为两类,一类是利用工频量的测距原理,另一类是利用暂态行波的测距原理。前者由于受到太多因素的影响而导致测距不准确,比如过渡电阻对前者的影响就很难消除,而且线路模型是采用集中参数模型,测距算法从原理上很难达到高精确度。后者虽然采用较为精确的分布参数模型,测距精度比较高,不受过渡电阻、系统运行方式等因素的影响,但可靠性较差,而且有测距死区,当故障位置离测量点很近或故障初始角接近零度时,测距将失败[3,4>。 最近,有人提出了利用双端的电压电流量精确地计算沿线路电压分布的测距方法[5,6>。只用单端量不可能求出整条故障线路的电压沿线路的分布,用单端量求得的电压分布在故障点以前是真实的,但在故障点以后,由于故障点后侧的电流发生了变化,求得的电压分布是虚假的。尽管如此,对于过渡电阻为零的故障,依然可以用这个“虚假”的电压分布确定故障点的位置,因为在故障点处的电压为零。 本文提出了一种新的单端故障测距原理,利用单端测量的电压电流计算电压沿线路分布函数对距离的导数,电压分布函数对距离导数的范数在故障点呈现最小值。基于此思想,可利用单端量构成输电线路的故障测距新算法。EMTP初步仿真表明,该原理有比较高的准确度,不受故障类型、故障过渡电阻等因素的影响,且几乎没有测距死区。但仍然有很多问题需要进一步的研究和探讨。 2 测距基本原理 2.1 输电线路模型 一条单相输电线路,始端为原点O,在线路上任意一点x处,总有下式成立: 式中Ux(ω)、Ix(ω)为x点的电压和电流的频率域表达式; 假设O点的电压Uo和电流Io为已知,则线路上任意一点x 处的电压电流为 2.2 故障线路沿线电压分析 如图1所示,线路MN的长度为l,在距离M点D km处的K点发生短路,测距装置安装在母线M处,且M处的电压UM、电流IM为已知,即在M点的前行波FM=UM+ZCIM和反行波BM=UM-ZCIM也为已知。研究在线路上任何一点距离母线M为x km处的电压,当x≤D时, 由于电流IK的值是未知的,因此不可能由UM和IM计算出全线的真实电压分布情况。 如果利用M点的电压和电流,再利用式(9)对整条线路进行电压分布计算。令 那么在故障点以前(x≤D),计算的电压分布结果是“真实”的,但在故障点后( 2.3 故障测距原理 电压对距离的导数依然是一时间(或频率)和距离的二元函数。 因为在故障点K(x=D处)的电压 利用M点测量到的电压和电流逐点计算线路上各点的电压对距离的导数 3 测距的数字算法 为了简化计算,取α、β及ZC的值为工频时的值,并假设为常数,则α=R/ZC,β=ω/v,Zc为波阻抗,R为波阻抗中的实部,v为行波传播速度。在上述假设条件下,传播函数Ax及其倒数
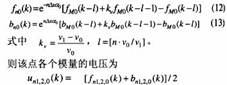
假设采样周期为Ts ,s,线路的相模传播参数为γ1=α1+jω/v1,v1为相模分量的传播速度,相模波阻抗为ZC1,地模的传播参数γ0=α0+jω/v0,v0为地模分量的传播速度,地模波阻抗为ZC0。将线路分成N段,每小段的长度△x=Ts×v1,首先将M端测量到的三相电压电流转换成3个独立的模量电压和电流,M点的3个模量的前行波 由于零模分量的传播速度与相模分量不同,在k时刻的零模分量需要用到M点k±nv1/v0时刻的值,由于v1/v0不是整数,因此xn点的零模分量可以用插值法计算得到为 再利用模量变换矩阵将所得到的模量电压值反变换到相域。就可以用单端量求得电压沿线路的分布。当然,这个分布在故障点以后是“虚假”的。然后求取沿电压线路分布函数对距离的导数: 式中 N为时间窗的宽度。 该有效值的最小值点即对应线路的故障点。假设对应的最小值点为J,那么故障距离则为 D=J·△x 4 EMTP 仿真 文献[7>提供的某双端电源400 kV输电线路,其长度为140 km,如图2(a)所示,杆塔结构及相关参数如图2(b)所示。测距装置在M侧母线,其测量电压和电流的采样频率为500 kHz,用EMTP LINE CONSTANT子程序计算得到的相模和地模中的行波传播速度分别为v1=294788km/s和v0=252210 km/s。以相模分量为基准对线路分段,△x=294778.2´10-6=0.59 km。当线路在距离测量点80 km处发生A相接地故障时(过渡电阻为100Ω),A相电压沿线对距离导数的沿线分布如图3所示,其最小值点即为故障点。计算的故障距离D=80.182km。 表1给出了分别在距离M侧不同故障位置发生单相接地短路(A相接地)时的测距结果和误差。表2~4分别给出了不同的过渡电阻、不同的故障时刻、以及不同的故障类型下的测距结果和误差。其中,误差err/%定义为 表2~4分别给出不同过渡电阻、不同故障初始角以及不同故障类型情况下的测距结果。初步的仿真结果表明,该测距算法基本上不受故障过渡电阻、故障初始角以及故障类型的影响,有较高的精确度,且其测距的死区范围很短。测距的死区与分段线路的长度即采样频率有关,本算例的死区为距离测量点0.59 km。 5 结论 在研究了输电线路电报方程解的基础上,发现利用单端电压电流量虽然不能得到全线路的电压分布,但其对距离的导数在整个线路上的分布是基本真实的,并发现,电压对距离导数沿线路的分布函数在故障点呈现最小值。基于上述结论,本文提出了一种新的单端故障测距原理,利用单端电压电流计算“虚假”的电压沿线路分布,然后求取其对距离的导数,其对距离导数的范数值在故障点呈现最小值。EMTP仿真结果表明,本测距算法具有较高的精确度,且基本不受故障类型、过渡电阻、故障初始角的影响。故障测距死区与采样频率有关,采样频率越高,死区越短。本算法的缺点是要求的采样频率比较高,否则将影响测距的精确度,另外,当测量点的电压经过PT和CT发生畸变时,该算法的精度需要进一步的研究和探讨。 |





















